דפים
דף הבית
משפטים בגיאומטריה
שטחים
סדרה חשבונית
סדרה הנדסית
מכניקה
אלגברה תיכונית
Caculus
חשמל
ישרים מקבילים
משולשים
אלגברה לינארית
מבחנים מתמטיקה
מספרים מרוכבים
מחשבונים
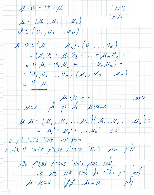
אלגברה לינארית - הוכחת תכונות של מכפלה סקלרית של וקטורים
הוכחת תכונות של מכפלה סקלרית של וקטורים
חוק הפילוג (דיסטריביוטיביות)
חוק הקיבוץ (אסוציאטיביות)
חוק החילוף (קומוטטיביות)
אין תגובות:
הוסף רשומת תגובה
רשומה חדשה יותר
רשומה ישנה יותר
דף הבית
הירשם ל-
תגובות לפרסום (Atom)
אין תגובות:
הוסף רשומת תגובה